New Bliss Logo

Régularisation Des Charges Et Produits Exercices Corrigés Pdf


Régularisation Des Charges Et Produits Exercices Corrigés Pdf

MM-95880 Comptabilité : Corrigé - la régularisation des charges et des produits Page 1 de 7 CORRIGÉ - LA RÉGULARISATION DES CHARGES ET DES PRODUITS Nous.

1 Rappeler le principe comptable qui conduit à régulariser les comptes de charges et de produits en fin d’exercice comptable. 2 Enregistrer au journal de l’entreprise les.

Rattachement des charges et des produits à l'exercice en cours Charges et produits régulièrement comptabilisés REGULARISATION DES CHARGES PDF [PDF] Exercices.

[PDF] Exercices corrigés de Comptabilité générale - 2020/21. Ces exercices corrigés couvrent les différents types de sujets qui peuvent vous 3 – Synthèse : régularisation.

charges et les produits qui s'y rattachent et uniquement ceux-ci. Le calcul du résultat comptable de l’exercice en cours de clôture ne tient compte que des produits et des.

Les régularisations de charges et de produits consistent à rattacher à un exercice déterminé toutes les charges et tous les produits qui le concernent réellement, mais eux.

Ci-dessous un exercice corrigé sur les régularisations de charges et de produits : Les informations suivantes au sujet de la société commerciale Budio vous sont.

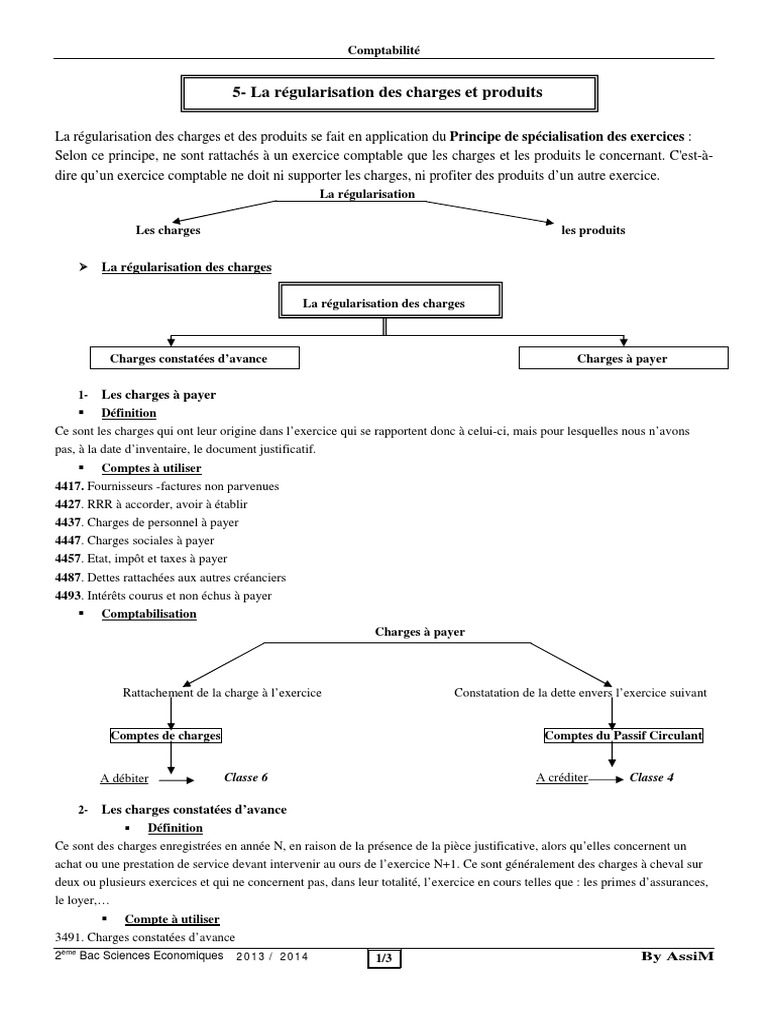
La régularisation des charges et des produits se fait en application du Principe de spécialisation des exercices : Selon ce principe, ne sont rattachés à un exercice.

La régularisation des comptes de charges et produit est indispensable en vertu du principe de la spécialisation des exercices, qui veut qu’un exercice comptable ne supporte que.

Les charges et produits déjà comptabilisés, mais ne concernant qu’en partie, ou pas du tout, l’exercice qui vient d’être clôturé, doivent être exclues de cet exercice pour être.

Exercice Corrigé '' Régularisation Des Charges Et Pdts | PDF | Taxe sur la valeur ajoutée | Facture

Régularisation Des Charges Et Produits Exercices Corrigés Pdf 4-La Régularisation Des Charges Et Produits | PDF
Régularisation Des Charges Et Produits Exercices Corrigés Pdf Exercices Régularisations Fin Exercice - Les régularisations de fin d'exercice  Exercice 1 Pour - Studocu
Régularisation Des Charges Et Produits Exercices Corrigés Pdf Les Autres Regularisations Des Charges Et Des Produits 1 | PDF | Facture |  Bilan comptable
Régularisation Des Charges Et Produits Exercices Corrigés Pdf La Régularisation Des Stocks | PDF | Inventaire | Comptabilité
Régularisation Des Charges Et Produits Exercices Corrigés Pdf Régularisation Des Charges Et Des Produits | PDF | Facture | Prêts
Régularisation Des Charges Et Produits Exercices Corrigés Pdf CHAP LA REGULARISATION DES CHARGES ET DES PRODUITS VRAI - Réparé | PDF |  Facture | Taxe sur la valeur ajoutée
Régularisation Des Charges Et Produits Exercices Corrigés Pdf Exemple Et Resume de Regularisations Des Charges Et Produits | PDF
Régularisation Des Charges Et Produits Exercices Corrigés Pdf la régularisation des stocks - cours et exercices corrigé | Cours fsjes
Régularisation Des Charges Et Produits Exercices Corrigés Pdf Série D - Exercice 2 Régularisation Des Stocks | PDF | Comptabilité |  Inventaire
Régularisation Des Charges Et Produits Exercices Corrigés Pdf Corrigé-TD7 - correction des exercices de compta - TD 6 : Les opérations  d'inventaire L'ajustement - Studocu
Régularisation Des Charges Et Produits Exercices Corrigés Pdf Régularisation Des Comptes de Charges Et de Produits | PDF | Facture | Taxe  sur la valeur ajoutée
Régularisation Des Charges Et Produits Exercices Corrigés Pdf Travaux Dirigés 3 La Régularisation Des Stocks Exercices D'application 2ème  Bac Sciences Economiques | PDF | Organisation commerciale mondiale |  Inventaire
Régularisation Des Charges Et Produits Exercices Corrigés Pdf Regularisation Des Comptes de Charges Et Produits Cours 1 | PDF |  Comptabilité | Les sociétés
Régularisation Des Charges Et Produits Exercices Corrigés Pdf Note Comptes de Régularisation PDF | PDF | Comptabilité financière |  Comptabilité