New Bliss Logo

Fonction Exponentielle Exercices Et Problèmes Corrigés Pdf


Fonction Exponentielle Exercices Et Problèmes Corrigés Pdf

Fonction exponentielle : Exercices Corrig es en vid eo avec le cours surjaicompris.com Calculer avec la fonction exponentielle Simpli er les expressions suivantes ou xest un r.

Fonction exponentielle – Exercices - Devoirs Exercice 1 corrigé disponible Simplifier les expressions suivantes : 1. A=(ex) 3 e−2x 2. B= e2 x+1 e−2x 3. C= e3x−1 e2−x 4. D=√.

f est la fonction définie sur Rpar : f(x) = (3 − x)ex. Justifier les a ffirmations suivantes : 1) Le tableau de variations de f est : x f(x) −∞ 2 +∞ 0 e2 −∞ 2) Pour tout réel m > 0 et m ,e2,.

Cliquer ici pour télécharger ds sur la fonction exponentielle et les nombres complexes N2 terminale pdf. Cliquer ici pour télécharger la correction du devoir surveillé.

Loi exponentielle - exercices corrigés document disponible sur JGCUAZ.FR LOI EXPONENTIELLE EXERCICES CORRIGES . Ce document totalement gratuit.

Free

Chapitre 01 - Fonctions polynômes et équations du second degré; Chapitre 02 - La dérivation; Chap 03 - Les probabilités conditionnelles; Chapitre 05 - Fonctions.

Apprenez gratuitement les Mathématiques, l'Art, la Programmation, l'Economie, la Physique, la Chimie, la Biologie, la Médecine, la Finance, l'Histoire et plus encore. Khan Academy.

Agoramath

Des exercices de maths en terminale sur les fonctions exponentielles, vous pouvez également consulter les exercices de maths corrigés en terminale en PDF avec les.

Fonction exponentielle Exercices corrigés 1. 1. Fesic 1996, exercice 2 1 1. 2. Fesic 1996, exercice 3 1 1. 3. Fesic 1996, exercice 4 2 1. 4. Fesic 2000, exercice 6 3 1. 5. Fesic.

Chapitre 6 : Fonction exponentielle FONCTION EXPONENTIELLE CORRECTION DES EXERCICES VARIATION DE FONCTION AVEC EXPONENTIELLE Exercice 1 :.

Fonctions exponentielles (2-3MSt) - Problèmes | BDRP

Fonction Exponentielle Exercices Et Problèmes Corrigés Pdf La Fonction Exponentielle PDF | PDF | Fonction (Mathématiques) | Courbe
Fonction Exponentielle Exercices Et Problèmes Corrigés Pdf Cour Expo | PDF | Fonction exponentielle | Limite (mathématiques)
Fonction Exponentielle Exercices Et Problèmes Corrigés Pdf Fonctions Exponentielles Resume de Cours 3 1 | PDF | Fonction exponentielle  | Fonction (Mathématiques)
Fonction Exponentielle Exercices Et Problèmes Corrigés Pdf Loi Exponentielle Exercice | PDF | Variable aléatoire à densité | Fonction  exponentielle
Fonction Exponentielle Exercices Et Problèmes Corrigés Pdf Choix Ex Livre Corriges PDF | PDF | Fonction exponentielle | Fonction  (Mathématiques)
Fonction Exponentielle Exercices Et Problèmes Corrigés Pdf Fonction exponentielle - Cours, résumés et exercices corrigés - F2School
Fonction Exponentielle Exercices Et Problèmes Corrigés Pdf Fonction exponentielle Exercice: Résoudre des équations avec des  exponentielles - Niveau facile - YouTube
Fonction Exponentielle Exercices Et Problèmes Corrigés Pdf Le Tableau Noir des Mathématiques
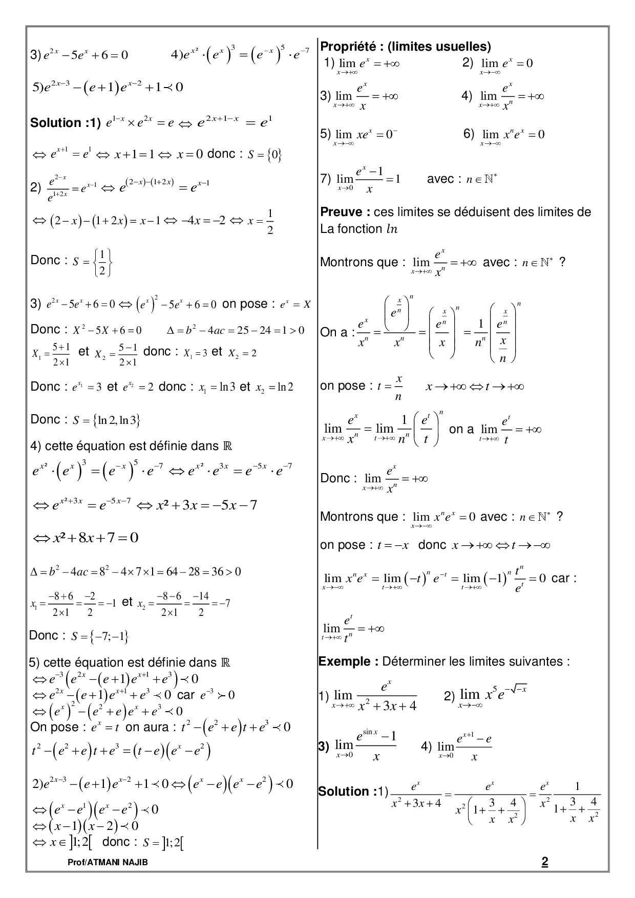
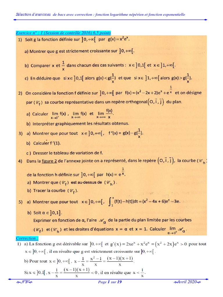
Fonction Exponentielle Exercices Et Problèmes Corrigés Pdf 2
Fonction Exponentielle Exercices Et Problèmes Corrigés Pdf FONCTIONS EXPONENTIELLES - FONCTIONS LOGARITHMES Terminale S | PDF | Fonction  exponentielle | Fonction (Mathématiques)
Fonction Exponentielle Exercices Et Problèmes Corrigés Pdf La Fonction Exponentielle | PDF | Fonction exponentielle | Objets  mathématiques
Fonction Exponentielle Exercices Et Problèmes Corrigés Pdf Le Tableau Noir des Mathématiques
Fonction Exponentielle Exercices Et Problèmes Corrigés Pdf Sujets Bac Logarithmes Et Exponentielles Bac Sciences Numéro 2 2013controle  2016controle | PDF | Fonction exponentielle | Calcul différentiel
Fonction Exponentielle Exercices Et Problèmes Corrigés Pdf Fonctions exponentielles - Cours et exercices corrigés - AlloSchool