New Bliss Logo

Fiche Révision Bac Français Pdf


Fiche Révision Bac Français Pdf

Le Bac de français concerne les séries générales et techno. Composée d'un écrit et d'un oral, elle fait appelle à vos connaissances littéraire et méthodologie.

Retrouvez toutes les fiches de révisions du Bac général ainsi que les fiches de révisions du Bac technologique et du Bac professionnel.

Conseils pour l’oral du bac de français - Il faut bien connaître le plan de chaque texte, en sachant que la problématique posée par le professeur lors de l’examen peut varier de.

BAC : révise pour l'épreuve de français grâce à nos fiches, exercices, conseils méthodo pour l'écrit et l'oral ! Tout pour compléter tes révision et réussir le jour J. Retrouve.

Les 12 oeuvres au programme du bac de français 2023 en série générale. Les Contemplations, livres I à 4, Victor Hugo. Les Fleurs du Mal, Baudelaire. Alcools,.

L'examen se compose de deux exercices : une épreuve écrite (coefficient 5) une épreuve orale (coefficient 5) Testez vos connaissances avec nos quiz du bac de français. Et.

Toutes les matières. Que vous soyez en Première ou Terminale votre objectif, c'est le bac ! Et pour y parvenir vous allez devoir organiser vos révisions et ce tout au long de l'année.

Bac 2023 : cours et fiches de révision. Choisis ta classe et ta filière pour accéder à de nombreux cours et fiches de révision dans toutes les matières du bac 2023. De quoi.

Exercices Bac Français En classe de première, les élèves en filière générale suivent un socle commun de disciplines (français, histoire-géographie, enseignement moral et.

Plein de fiche de révision pour le bac de Français. Vous trouverez donc sur cette page, un large choix de fiche pour réviser votre bac de français écrit, mais aussi votre bac de.

Révisez le bac 2023 et préparez chaque épreuve sereinement : fiches de révision, planning, cours et exercices, quiz de connaissances, conseils-méthodo... - L'Etudiant

Une des méthodes efficaces pour préparer et faciliter les révisions consiste à ficher ses textes pour en retenir les informations essentielles. Toutefois, pour être vraiment utile,.

FICHE DE RÉVISION DU BAC Français – Toutes séries Les connecteurs logiques 2 LE COURS [Série – Matière – (Option)] [Titre de la fiche] Pour introduire Tout d’aord Dans.

Fiche de révision lecture linéaire | Résumés Français | Docsity

Fiche Révision Bac Français Pdf Fiche revision pour oeuvre bac français | Résumés Français | Docsity
Fiche Révision Bac Français Pdf Template fiche bac francais | Schémas Français | Docsity
Fiche Révision Bac Français Pdf FICHE RECAPITULATIVE DU PROGRAMME DE MERCATIQUE par Chloé - Fichier PDF
Fiche Révision Bac Français Pdf Fiche de révision lecture linéaire | Résumés Français | Docsity
Fiche Révision Bac Français Pdf Fiche - Bilan.poesie BAC FRANCAIS | PDF | Rime dans la poésie | Poésie
Fiche Révision Bac Français Pdf Objectif BAC Fiches détachables Français 1re BAC 2023 - 60- Poche |  Hachette Éducation - Enseignants
Fiche Révision Bac Français Pdf Fiche de Révision de Français Pour Le Brevet | PDF | Poésie | Rime dans la  poésie
Fiche Révision Bac Français Pdf L'albatros fiche pour le bac de français | Notes Français | Docsity
Fiche Révision Bac Français Pdf Objectif BAC Fiches détachables Français 1re BAC 2023 - 60- Poche |  Hachette Éducation - Enseignants
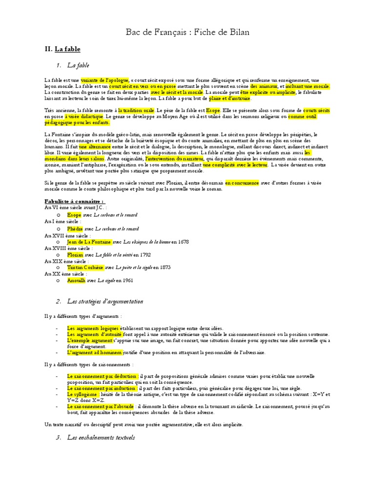
Fiche Révision Bac Français Pdf Bac de Français: Fiche de Bilan | PDF | Fable | Clause
Fiche Révision Bac Français Pdf Fiche de révision pour l'oral du bac de français: «Parfum Exotique»,  Baudelaire | Lectures Français | Docsity
Fiche Révision Bac Français Pdf Fiche de révision - lecture linéaire | Résumés Français | Docsity
Fiche Révision Bac Français Pdf Auteurs à connaître - fiche bac - Auteurs à connaître (au bac de français)  : » APOLLINAIRE Guillaume - Studocu
Fiche Révision Bac Français Pdf Mes années BAC - Fiches Français 1re * Ouvrage d'entraînement | Bordas  éditeur