New Bliss Logo

Exercice Corrigé Modele Osi Et Tcp/ip Pdf


Exercice Corrigé Modele Osi Et Tcp/ip Pdf

Le modèle TCP/IP est un modèle en 4 couches qui décrit la fonctionnalité des protocoles qui constituent la suite de protocoles TCP/IP. Ces protocoles, qui sont présents sur les.

généralement toutes les fontionnalités requises à l’interfae entre le réseau humain et le réseau de données. Le modèle TCP/IP à 4 couches est un modèle de protocole, car il.

CHAPITRE 5 : LA FAMILLE DES PROTOCOLES TCP/IP 21 1. Exercices 21 1.1 Adressage IP et protocoles associés 21 1.2 Routage 22 1.3 Protocoles de transport 24 1.4.

Architecture des réseaux cours exercices corrigés PDF TÉLÉCHARGER Architecture Read or Download Architecture des réseaux haut débit : Cours, exercices et corrigés.

Cours et exercices de Modèle OSI Couche réseau et transport Télécharger cours sur les couches réseau et transport pour un réseau informatique, fichier PDF en 26 pages. -.

Quelles différences majeures distinguent TCP/IP du modèle OSI ? Exercice 2 : Modèle OSI 1- Définissez de manière succincte les termes suivants : Couche, Système, Entité,.

2LFIG TD7 : Modèle OSI-TCP/IP Mme. Rouahi - Aouatef Rouahi. Exercice 01. 1- Parmi les éléments ... commutateur (switch), TCP, FTP, Navigateur WEB, carte réseau, @IP, @.

On étudiera en détail une transmission via TCP/IP 2. Modèle OSI Pour uniformiser les protocoles utilisés lors des communications entre les différentes couhes d’un réseau,.

Exercice 1 : Segmentation de rseau Lun des tablissements dune entreprise utilise la plage dadresse 10.0.0.0 de la classe A. Considrons quatre machines de cet tablissement dont.

Corrige TD3 PDF | PDF | Modèle OSI | Adresse IP

Exercice Corrigé Modele Osi Et Tcp/ip Pdf Série de TD N°02 Modèle OSI Et TCP/IP: Exercice 01 | PDF | Protocoles  Internet | Suite des protocoles Internet
Exercice Corrigé Modele Osi Et Tcp/ip Pdf Corrige TD-3 PDF | PDF | Modèle OSI | Technologie de médias
Exercice Corrigé Modele Osi Et Tcp/ip Pdf Travaux-Pratiques 3-1-IntroductionAuxReseaux - PDF 1 | PDF | Suite des  protocoles Internet | Protocoles Internet
Exercice Corrigé Modele Osi Et Tcp/ip Pdf TD MODELES OSI-TCP-Ethernet | PDF | Modèle OSI | Ethernet
Exercice Corrigé Modele Osi Et Tcp/ip Pdf Ccna1 Corrige Td04 | PDF | Protocole de contrôle de transmission | Suite  des protocoles Internet
Exercice Corrigé Modele Osi Et Tcp/ip Pdf Reseaux Et Protocoles) OCI TCP IP - Sujet + Correction | PDF | Modèle OSI |  Adresse IP
Exercice Corrigé Modele Osi Et Tcp/ip Pdf Réseau TD1-2 | PDF | Modèle OSI | Protocoles Internet
Exercice Corrigé Modele Osi Et Tcp/ip Pdf TD 2 - Osi | PDF | Modèle OSI | Architecture de réseau
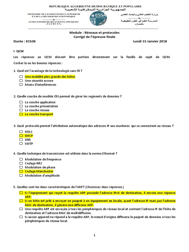
Exercice Corrigé Modele Osi Et Tcp/ip Pdf Corrige Epreuve Finale Reseau Protocoles 17 18 | PDF | Adresse IP | Réseau  informatique
Exercice Corrigé Modele Osi Et Tcp/ip Pdf Exercices corrigés adressage et routage IP - PDF Téléchargement Gratuit
Exercice Corrigé Modele Osi Et Tcp/ip Pdf Corrige TD3 SMI S5 27112019 PDF | PDF | Modèle OSI | Protocole de contrôle  de transmission
Exercice Corrigé Modele Osi Et Tcp/ip Pdf TD 1: Modèles en Couches (OSI Et TCP/IP) : Exercice 1 | PDF | Protocole de  contrôle de transmission | Ethernet
Exercice Corrigé Modele Osi Et Tcp/ip Pdf TD Cours 1 Correction | PDF | Ethernet | Topologie de réseau
Exercice Corrigé Modele Osi Et Tcp/ip Pdf Correction TD 1 Reseaux Informatiques | PDF | Modèle OSI | Topologie de  réseau