New Bliss Logo

Etude De Fonction Logarithme Exercice Corrigé Pdf


Etude De Fonction Logarithme Exercice Corrigé Pdf

φ ( x) = x e x − 1. En déduire qu’il existe un réel unique α tel que α e α = 1. Donner un encadrement d’amplitude 10 − 3 de α. Étudier le signe de φ ( x). Calculer la fonction.

Étude de la position relative de la courbe C g et de la droite Δ. Soit h la fonction définie sur R par h ( x) = 2 e x 2 – x – 2. a. Déterminer la limite de la fonction h en − ∞. b. Justifier.

Télécharge Etudes de fonctions - exercices corrigés et plus Exercices au format PDF de Mathématiques sur Docsity uniquement! de la 1° S à la TS. Chapitre 4 : Études de.

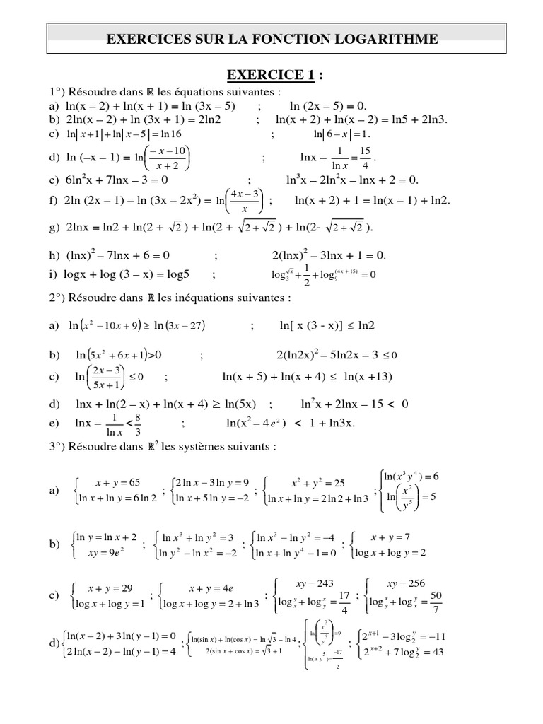
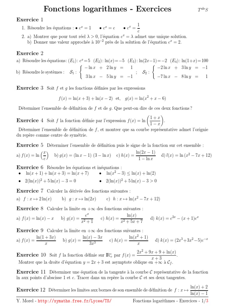
Des exercices de maths en terminale sur les fonctions logarithmes, vous pouvez également consulter et réviser avec les exercices corrigés en terminale en PDF. Exercice 1. •.

Etude de la fonction Logarithme népérien Ln. Tableau de variation. Courbe représentative (C) de la fonction Ln. Mots clés: étude de fonction logarithme - exercice corrigé pdf,.

Montrer que l’équation f(x) = 1 2 possède une unique solution sur [1; + ∞[. Donner une valeur approchée de cette solution à 10 − 2 près. Soit m ∈ R. Déterminer, selon la valeur.

4) Etudier les variations de la fonction . Montrer que le minimum de la fonction est égal à H ln2. 5) Tracer les droites A et A sur la feuille annexe. Sujet n°4 : extrait de Nouvelle.

Fonction logarithme népérien. Dérivée de . Etude de variations de fonctions. Calculs de limite sans indétermination. Calculs de limite avec indétermination grâce à un théorème.

Fonction logarithme népérien ; Exercices. Simplification d'expressions avec logarithme népérien; Etude de fonction et équations - Bac S Amérique du Nord 2008; Fonction.

La fonction logarithme népérien exercices et problèmes corrigés pdf. C’est une série d’exercices et problèmes corrigés sur la fonction logarithme (Bac / Terminale) Problème.

Fonction logarithme exercices corrigés http://laroche.lycee.free.fr Terminale S Fonctions Logarithmes Exercices corrigés 1. 1. Vrai-Faux 1 1. 2. Fonction ln, EPF 2006 1 1. 3..

📌 Étude des fonctions : 4 exercices... - Étude Maths Tunis | Facebook

Etude De Fonction Logarithme Exercice Corrigé Pdf Bouzouraa Chaouki: Exercices Sur La Fonction Logarithme | PDF | Fonction  (Mathématiques) | Intégral
Etude De Fonction Logarithme Exercice Corrigé Pdf Cours Logarithme Exercices | PDF | Tremblements de terre | Logarithme
Etude De Fonction Logarithme Exercice Corrigé Pdf 📌 Étude des fonctions : 4 exercices... - Étude Maths Tunis | Facebook
Etude De Fonction Logarithme Exercice Corrigé Pdf Cours Logarithme | PDF | Décibel | Analyse mathématique
Etude De Fonction Logarithme Exercice Corrigé Pdf exercice n 2 corrige etude de fonction 1
Etude De Fonction Logarithme Exercice Corrigé Pdf Fonction logarithme népérien Exercice Bac limite dérivation théorème des  valeurs intermédiaires - YouTube
Etude De Fonction Logarithme Exercice Corrigé Pdf Math 2bac Log | PDF | Fonction (Mathématiques) | Courbe
Etude De Fonction Logarithme Exercice Corrigé Pdf Exercices Logarithme Corriges | PDF | Courbe | Fonction monotone
Etude De Fonction Logarithme Exercice Corrigé Pdf La fonction logarithme népérien - PDF Free Download
Etude De Fonction Logarithme Exercice Corrigé Pdf 📌 Étude des fonctions : 4 exercices... - Étude Maths Tunis | Facebook
Etude De Fonction Logarithme Exercice Corrigé Pdf La fonction logarithme népérien - PDF Free Download
Etude De Fonction Logarithme Exercice Corrigé Pdf FONCTION LOGARITHME NEPERIEN EXERCICES CORRIGES | Examens Mathématiques |  Docsity
Etude De Fonction Logarithme Exercice Corrigé Pdf Courloga PDF | PDF | Limite (mathématiques) | Asymptote
Etude De Fonction Logarithme Exercice Corrigé Pdf Sujets Bac Logarithmes Et Exponentielles Bac Sciences2016 2019 | PDF |  Fonction exponentielle | Nombre